#バイナンス上場パスの包括的な分析:アルファ、IDO、先物、スポット、どちらの方法がより有利ですか?
この調査では、バイナンスの4つの主要なアップラインチャネル(アルファ、IDO、先物、スポット)のトークンライフサイクルパフォーマンスを包括的に分析し、リターンパフォーマンス、上場頻度、トラック選好、評価範囲に焦点を当てて、他の主流取引所でのこれらのプロジェクトのその後の開発を追跡します。
! Binance Listing Path Research: Alpha、IDO、Futures、Spotはすべて分解されていますが、どの方法が最も有益ですか?
※アルファ→スポット:平均約60日
この調査では、バイナンス上場チャネルのプロジェクトトークンのライフサイクルパフォーマンスの詳細な分析を提供し、他の主要な取引プラットフォームでのこれらのプロジェクトの上場パスを追跡します。 この分析は、トークンリターンのパフォーマンス、上場のタイミング、トラックの選好、評価の分布をカバーし、プロジェクト関係者に戦略的な上場パスの提案を提供し、投資家にデータベースの価格評価フレームワークを構築することを目指しています。
バイナンススポット(現物):最も基本的な取引プラットフォームで、ユーザーは現在の市場価格でトークンを売買でき、取引が完了した後は自由に保有、送金、または販売できます。
バイナンス先物(契約):暗号資産のデリバティブ取引サービスを提供し、ユーザーはロングまたはショートを行い、レバレッジを使用して利益または損失を拡大できます。
バイナンスIDO:個人投資家向けの公募チャネルで、ユーザーはBNBをステーキングするか、特定のタスクを完了することで新しいプロジェクトのトークン発行に参加します。通常、トークンは他のプラットフォームで正式に上場する前に発生します。
バイナンスアルファ:プロジェクト発見プラットフォームで、BNBチェーン上の複数のDEXを統合し、成長ポテンシャルのある初期段階のプロジェクトをサポートし、実験性とトークンの多様性を強調しています。
プロジェクト側にも投資家にも、上場の道筋を理解することが非常に重要です:
私たちは、トークンが上場してから14日以内のFDVの変動を評価し、異なるプラットフォームの短期的な価格発見能力を評価しました。上場初日の終値に基づくFDVを基準として、14日目の最高FDVを比較します。
全体的に見ると、すべてのプラットフォームの14日FDVの中央値は負の値であり、現在のサイクルにおいて、多くのプロジェクトが上場した瞬間が評価のピークであることを示しています。
アルファ:平均約+77%、中央値は-7.6%。大多数のプロジェクトは限られたリターンしか得られませんが、一部のプロジェクトは非常に優れたパフォーマンスを示し、高いボラティリティ特性を見せています。パフォーマンスにばらつきはありますが、下方の余地は限られており、投資家に非対称のリターン構造を提供しています。
IDOとFutures:中央値はそれぞれ-16.3%と-21.7%ですが、平均はそれぞれ+28%と-20%です。これは、ほとんどのプロジェクトが一般的なパフォーマンスを示している一方で、いくつかの優れたプロジェクトが全体の平均を大きく引き上げていることを示しています。Futuresはパフォーマンスが低下しており、主に多くのプロジェクトが一定期間後に追加されるため、ボラティリティのピークを過ぎているためです。
スポット:中央値-29.7%、平均-20%。最も権威のあるプラットフォームとして、スポットの上場は逆に早期投資家の出口となり、価格が圧力を受ける可能性があります。
その他のプラットフォーム**:BitgetとCoinbaseは比較的安定したパフォーマンスを発揮し、中央値は-19.8%、平均は約21%でした。 Coinbaseの中央値は-7.7%で、平均は約18%です。 BybitとUpbitは、それぞれ平均8.9%(中央値-22.1%)と平均-5%(中央値-24.6%)と平凡な成績でした。
私たちは、トークンが上場後14日間の最高FDVと上場時のFDVの比率を測定し、各プラットフォームが提供する短期的な上昇の可能性を評価しました。
アルファ:平均の高騰幅は220%に達し、中央値は19.7%です。いくつかのプロジェクトは変動が小さいですが、多くのプロジェクトは上場後に急激な上昇を経験し、価格発見プラットフォームとしてのアルファの強力な能力を示しています。
IDO:平均的な高騰は約75%、中央値は11.5%。ほとんどのプロジェクトは上場後に良好な市場パフォーマンスを示しています。
先物:平均的に27%の高騰、中位数はわずか4.1%。価格を押し上げる一定の効果がある補助的な露出プラットフォームとして。
スポット:相対的にパフォーマンスが弱く、平均的な高値はわずか15%、中央値は0.9%です。これは、市場の期待がプロジェクトの開始前にすでに十分に消化されている可能性があるためです。
その他のプラットフォーム: Coinbaseは平均で60%上昇し、中央値は21.1%で、これはすべての取引プラットフォームの中で最も触媒的な効果です。 BybitとBitgetは平均で70-80%上昇し、中央値は約20%で、投機的な雰囲気が漂っています。 Upbitはパフォーマンスが弱く、平均で35%上昇し、中央値は0%でした。
各プラットフォームでのプロジェクトのFDV分布を見ると、異なる評価ステージのプロジェクトは異なる上場チャネルを選択するのに適している。
スポット:プロジェクトの60%以上が5億ドル以上のFDVを持っており、大型プロジェクトを明らかに好みます。 プロジェクトの規模と投資機関の背景に対する要件が高く、評価額の大きい成熟したプロジェクトにより適しています。
Alpha:カバー範囲が広く、FDVは2億ドル以下に集中しています。"実験場"の位置付けに合致しており、初期の評価でありながら潜在能力のあるプロジェクトの試行に適しています。
先物:半分以上のプロジェクトのFDVは5億ドルを超えていますが、7000万ドルから5億ドルの範囲にも一定の分布があります。上場済みプロジェクトのフォローアップチャネルに近く、比較的安定した評価のプロジェクトに適しています。
IDO:FDVは7000万ドルから2億ドルの間に集中しており、中程度の時価総額プロジェクトを好むことを示しています。製品、コミュニティ、戦略が十分に準備された後に行う公開発行に適しています。
その他のプラットフォーム:Bitgetは、3,000万未満から5億以上まで幅広くカバーしており、高い評価を得ていますが、ある程度の人気を持つプロジェクトが好まれています。 Bybitのプロジェクトの半数近くは、FDVが5億ドルを超えています。 ほとんどすべてのCoinbaseプロジェクトは5億ドルを超えています。 すべてのUpbit上場は2億ドルを超えています。
異なるプラットフォームはプロジェクトのトラック選択において明らかな好みの違いを示しています:
IDO:主にインフラ(7件)とAI(6件)プロジェクトをサポートしており、垂直分布が集中しており、6つのトラックのみをカバーしています。明らかに技術基盤と新興アプリケーションシナリオに焦点を当てています。
スポット:インフラストラクチャー(18)、ミーム(8)、AI(8)プロジェクトを好み、同時にDeFi、実物資産、GameFiなどの複数のカテゴリーをカバーしています。垂直分布は最も均衡していますが、インフラストラクチャータイプが依然として支配的です。
先物:35のインフラストラクチャと21のAIプロジェクトを含むオンラインプロジェクトの最大数で、Meme(14)とDeFi(8)が大きな割合を占めています。 幅広いトラックをカバーしているため、市場がアクティブでナラティブ主導のプロジェクトを好みます。
全体的に、AIプロジェクトは四つの主要なチャネルで支持されている人気のある分野です;MemeプロジェクトはAlphaで優位に立ち、SpotやFuturesでも良いカバー率があります;インフラ系プロジェクトはAlphaを除いて最も人気のあるコア分野です。
AlphaやIDOがSpotへの踏み台になるかどうかに関するデータは次の通りです:
アルファは初期のテストチャネルとしてより適しており、プロジェクトの30%以上が先物に参入できますが、スポットに昇格するには依然として強力なファンダメンタルズと市場パフォーマンスが必要です。 対照的に、IDOプログラムは、ブランド認知度とコミュニティに根ざしており、プロモーションの可能性が高くなります。
Spotに昇進したプロジェクトは初期段階で通常どのようにパフォーマンスを示すのか?データによると:
その他のパス:Alpha → Futuresと2つのIDOパスは、14日間のラッシュの高桁である約30%〜45%に比較的集中しており、パフォーマンスは比較的安定しています。
総合的に見て、プロジェクトが前提プラットフォームに上場した後、2週間以内に約40%-50%のFDVの成長を達成できれば、FuturesやSpotのさらなる好意を得る可能性が高くなります。
初期プラットフォームからスポット上場まで通常どれくらいの時間がかかりますか?データによると:
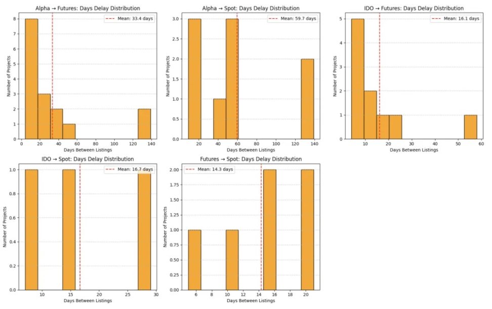
プロジェクトチームがSpotの迅速な立ち上げを希望する場合、Futuresは現在最も確実な中継路です。
Binanceを除いて、ますます多くのプロジェクトがAlphaまたはIDOの後に他の主流プラットフォームに移行することを選択しています。これらのプラットフォームの受容度はどのようなものですか?
Alphaと比較して、IDOプロジェクトは他のプラットフォームでより魅力的である可能性があり、これはより強力なブランド構築とコミュニティ基盤に関連しているかもしれません。BitgetとBybitはIDOプロジェクトに対する受け入れ度が特に高く、プロジェクト側が検討すべき拡張パスです。
BitgetとBybitは反応が速く、迅速なローンチ戦略に適しています。CoinbaseとUpbitはペースが遅く、現地のコンプライアンス要件に合わせる必要があります。
AlphaとIDOプロジェクトが各取引プラットフォームに上場後14日間の平均上昇幅:
全体的に見て、BitgetとBybitはBinanceプロジェクトを引き受ける際に安定したパフォーマンスを示しており、プロジェクト側がラインアップを計画する際の重要な考慮対象です。
BinanceのAlphaとIDOは、前置プラットフォームとしてそれぞれの利点があります:
しかし、Spotの転換は依然として相対的に希少です:Alphaプロジェクトの最終昇進比率は約12%、IDOもわずか24%です。プロジェクト側はリズム管理を行い、異なるパスの待機時間の差を理解する必要があります。
そのため、プロジェクト側は自らの評価段階に応じて適切なチャネルを選択する必要があります。
さらに、異なるプラットフォームのプロジェクトトラックに対する好みも考慮に入れるべきです。AIプロジェクトはほぼすべてのチャネルで歓迎され、MemeはAlphaで最も良いパフォーマンスを発揮しますが、インフラ系プロジェクトはAlphaを除いて最も好まれるコアトラックです。
Binance Spotに直接入れなかったプロジェクトに対して、BitgetとBybitは実行可能な代替ルートを提供しており、特にAlphaやIDOからのプロジェクトに対する受け入れ度が高いため、プロジェクト側が重点的に検討する価値があります。
3.37K 人気度
325.5K 人気度
36.21K 人気度
1.46K 人気度
1.28K 人気度
詳細な分析:バイナンスの4つの主要なオンラインチャネルの比較 バリューリターンが最も高いのはどのパスですか?
#バイナンス上場パスの包括的な分析:アルファ、IDO、先物、スポット、どちらの方法がより有利ですか?
ポイント概要
この調査では、バイナンスの4つの主要なアップラインチャネル(アルファ、IDO、先物、スポット)のトークンライフサイクルパフォーマンスを包括的に分析し、リターンパフォーマンス、上場頻度、トラック選好、評価範囲に焦点を当てて、他の主流取引所でのこれらのプロジェクトのその後の開発を追跡します。
! Binance Listing Path Research: Alpha、IDO、Futures、Spotはすべて分解されていますが、どの方法が最も有益ですか?
パフォーマンスレビュー
異なるプラットフォームの評価好み
掲載予定時間
※アルファ→スポット:平均約60日
! Binance Listing Path Research: Alpha、IDO、Futures、Spotはすべて分解されていますが、どの方法が最も有益ですか?
コースの好み
上場コイン転換率
他のプラットフォームのパフォーマンス
ディープ分析
この調査では、バイナンス上場チャネルのプロジェクトトークンのライフサイクルパフォーマンスの詳細な分析を提供し、他の主要な取引プラットフォームでのこれらのプロジェクトの上場パスを追跡します。 この分析は、トークンリターンのパフォーマンス、上場のタイミング、トラックの選好、評価の分布をカバーし、プロジェクト関係者に戦略的な上場パスの提案を提供し、投資家にデータベースの価格評価フレームワークを構築することを目指しています。
! Binance Listing Path Research: Alpha、IDO、Futures、Spotはすべて分解されていますが、どの方法が最も有益ですか?
用語の説明
バイナンススポット(現物):最も基本的な取引プラットフォームで、ユーザーは現在の市場価格でトークンを売買でき、取引が完了した後は自由に保有、送金、または販売できます。
バイナンス先物(契約):暗号資産のデリバティブ取引サービスを提供し、ユーザーはロングまたはショートを行い、レバレッジを使用して利益または損失を拡大できます。
バイナンスIDO:個人投資家向けの公募チャネルで、ユーザーはBNBをステーキングするか、特定のタスクを完了することで新しいプロジェクトのトークン発行に参加します。通常、トークンは他のプラットフォームで正式に上場する前に発生します。
バイナンスアルファ:プロジェクト発見プラットフォームで、BNBチェーン上の複数のDEXを統合し、成長ポテンシャルのある初期段階のプロジェクトをサポートし、実験性とトークンの多様性を強調しています。
! Binance Listing Path Research: Alpha、IDO、Futures、Spotはすべて分解されていますが、どの方法が最も有益ですか?
調査の範囲
プロジェクト側にも投資家にも、上場の道筋を理解することが非常に重要です:
価格発見分析
リターン率のパフォーマンス
私たちは、トークンが上場してから14日以内のFDVの変動を評価し、異なるプラットフォームの短期的な価格発見能力を評価しました。上場初日の終値に基づくFDVを基準として、14日目の最高FDVを比較します。
! Binance Listing Path Research: Alpha、IDO、Futures、Spotはすべて分解されていますが、どの方法が最も有益ですか?
全体的に見ると、すべてのプラットフォームの14日FDVの中央値は負の値であり、現在のサイクルにおいて、多くのプロジェクトが上場した瞬間が評価のピークであることを示しています。
アルファ:平均約+77%、中央値は-7.6%。大多数のプロジェクトは限られたリターンしか得られませんが、一部のプロジェクトは非常に優れたパフォーマンスを示し、高いボラティリティ特性を見せています。パフォーマンスにばらつきはありますが、下方の余地は限られており、投資家に非対称のリターン構造を提供しています。
IDOとFutures:中央値はそれぞれ-16.3%と-21.7%ですが、平均はそれぞれ+28%と-20%です。これは、ほとんどのプロジェクトが一般的なパフォーマンスを示している一方で、いくつかの優れたプロジェクトが全体の平均を大きく引き上げていることを示しています。Futuresはパフォーマンスが低下しており、主に多くのプロジェクトが一定期間後に追加されるため、ボラティリティのピークを過ぎているためです。
スポット:中央値-29.7%、平均-20%。最も権威のあるプラットフォームとして、スポットの上場は逆に早期投資家の出口となり、価格が圧力を受ける可能性があります。
その他のプラットフォーム**:BitgetとCoinbaseは比較的安定したパフォーマンスを発揮し、中央値は-19.8%、平均は約21%でした。 Coinbaseの中央値は-7.7%で、平均は約18%です。 BybitとUpbitは、それぞれ平均8.9%(中央値-22.1%)と平均-5%(中央値-24.6%)と平凡な成績でした。
高騰のポテンシャル分析
私たちは、トークンが上場後14日間の最高FDVと上場時のFDVの比率を測定し、各プラットフォームが提供する短期的な上昇の可能性を評価しました。
! Binance Listing Path Research: Alpha、IDO、Futures、Spotはすべて分解されていますが、どの方法が最も有益ですか?
アルファ:平均の高騰幅は220%に達し、中央値は19.7%です。いくつかのプロジェクトは変動が小さいですが、多くのプロジェクトは上場後に急激な上昇を経験し、価格発見プラットフォームとしてのアルファの強力な能力を示しています。
IDO:平均的な高騰は約75%、中央値は11.5%。ほとんどのプロジェクトは上場後に良好な市場パフォーマンスを示しています。
先物:平均的に27%の高騰、中位数はわずか4.1%。価格を押し上げる一定の効果がある補助的な露出プラットフォームとして。
スポット:相対的にパフォーマンスが弱く、平均的な高値はわずか15%、中央値は0.9%です。これは、市場の期待がプロジェクトの開始前にすでに十分に消化されている可能性があるためです。
その他のプラットフォーム: Coinbaseは平均で60%上昇し、中央値は21.1%で、これはすべての取引プラットフォームの中で最も触媒的な効果です。 BybitとBitgetは平均で70-80%上昇し、中央値は約20%で、投機的な雰囲気が漂っています。 Upbitはパフォーマンスが弱く、平均で35%上昇し、中央値は0%でした。
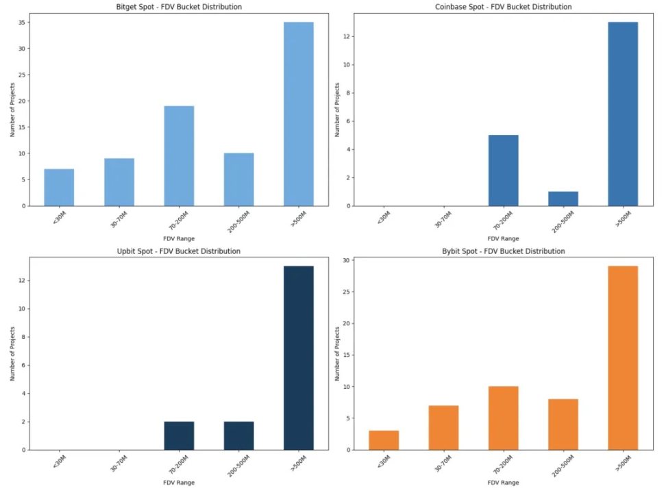
上場評価の分配
各プラットフォームでのプロジェクトのFDV分布を見ると、異なる評価ステージのプロジェクトは異なる上場チャネルを選択するのに適している。
! Binance Listing Path Research: Alpha、IDO、Futures、Spotはすべて分解されていますが、どの方法が最も有益ですか?
スポット:プロジェクトの60%以上が5億ドル以上のFDVを持っており、大型プロジェクトを明らかに好みます。 プロジェクトの規模と投資機関の背景に対する要件が高く、評価額の大きい成熟したプロジェクトにより適しています。
Alpha:カバー範囲が広く、FDVは2億ドル以下に集中しています。"実験場"の位置付けに合致しており、初期の評価でありながら潜在能力のあるプロジェクトの試行に適しています。
先物:半分以上のプロジェクトのFDVは5億ドルを超えていますが、7000万ドルから5億ドルの範囲にも一定の分布があります。上場済みプロジェクトのフォローアップチャネルに近く、比較的安定した評価のプロジェクトに適しています。
IDO:FDVは7000万ドルから2億ドルの間に集中しており、中程度の時価総額プロジェクトを好むことを示しています。製品、コミュニティ、戦略が十分に準備された後に行う公開発行に適しています。
その他のプラットフォーム:Bitgetは、3,000万未満から5億以上まで幅広くカバーしており、高い評価を得ていますが、ある程度の人気を持つプロジェクトが好まれています。 Bybitのプロジェクトの半数近くは、FDVが5億ドルを超えています。 ほとんどすべてのCoinbaseプロジェクトは5億ドルを超えています。 すべてのUpbit上場は2億ドルを超えています。
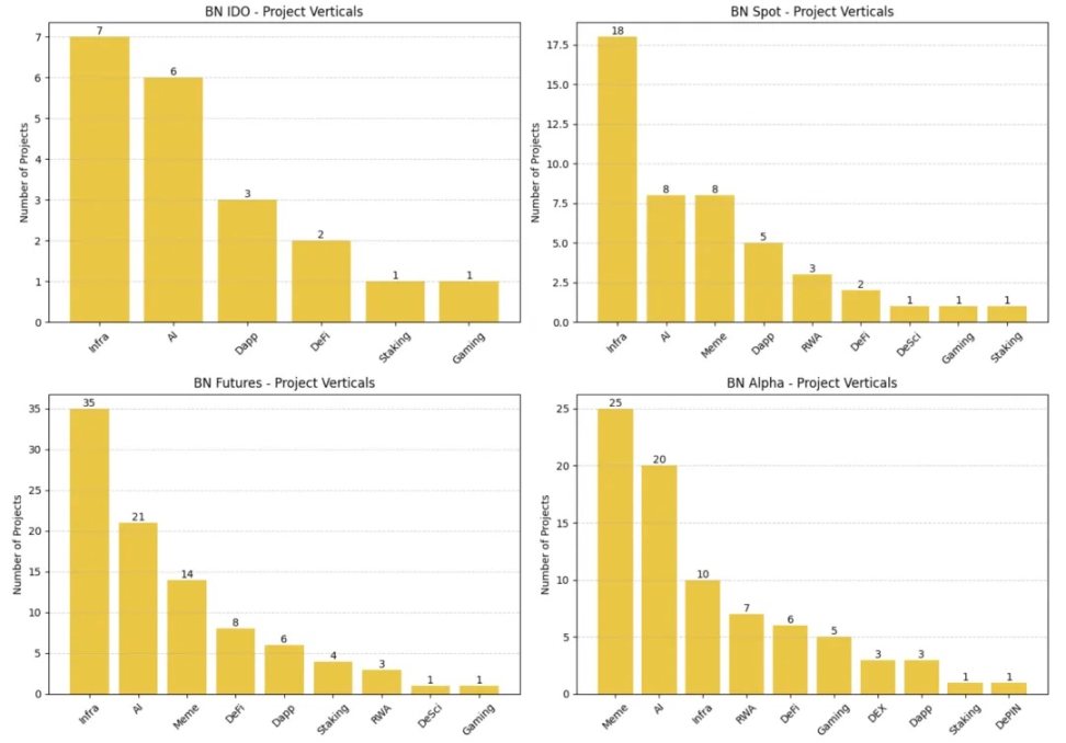
トラックの好み分析
異なるプラットフォームはプロジェクトのトラック選択において明らかな好みの違いを示しています:
! Binance Listing Path Research: Alpha、IDO、Futures、Spotはすべて分解されていますが、どの方法が最も有益ですか?
IDO:主にインフラ(7件)とAI(6件)プロジェクトをサポートしており、垂直分布が集中しており、6つのトラックのみをカバーしています。明らかに技術基盤と新興アプリケーションシナリオに焦点を当てています。
スポット:インフラストラクチャー(18)、ミーム(8)、AI(8)プロジェクトを好み、同時にDeFi、実物資産、GameFiなどの複数のカテゴリーをカバーしています。垂直分布は最も均衡していますが、インフラストラクチャータイプが依然として支配的です。
先物:35のインフラストラクチャと21のAIプロジェクトを含むオンラインプロジェクトの最大数で、Meme(14)とDeFi(8)が大きな割合を占めています。 幅広いトラックをカバーしているため、市場がアクティブでナラティブ主導のプロジェクトを好みます。
全体的に、AIプロジェクトは四つの主要なチャネルで支持されている人気のある分野です;MemeプロジェクトはAlphaで優位に立ち、SpotやFuturesでも良いカバー率があります;インフラ系プロジェクトはAlphaを除いて最も人気のあるコア分野です。
Road-to-Market分析
AlphaやIDOがSpotへの踏み台になるかどうかに関するデータは次の通りです:
! Binance Listing Path Research: Alpha、IDO、Futures、Spotはすべて分解されていますが、どの方法が最も有益ですか?
アルファは初期のテストチャネルとしてより適しており、プロジェクトの30%以上が先物に参入できますが、スポットに昇格するには依然として強力なファンダメンタルズと市場パフォーマンスが必要です。 対照的に、IDOプログラムは、ブランド認知度とコミュニティに根ざしており、プロモーションの可能性が高くなります。
プロジェクトパフォーマンスのハードル
Spotに昇進したプロジェクトは初期段階で通常どのようにパフォーマンスを示すのか?データによると:
! Binance Listing Path Research: Alpha、IDO、Futures、Spotはすべて分解されていますが、どの方法が最も有益ですか?
その他のパス:Alpha → Futuresと2つのIDOパスは、14日間のラッシュの高桁である約30%〜45%に比較的集中しており、パフォーマンスは比較的安定しています。
総合的に見て、プロジェクトが前提プラットフォームに上場した後、2週間以内に約40%-50%のFDVの成長を達成できれば、FuturesやSpotのさらなる好意を得る可能性が高くなります。
待機時間分析
初期プラットフォームからスポット上場まで通常どれくらいの時間がかかりますか?データによると:
プロジェクトチームがSpotの迅速な立ち上げを希望する場合、Futuresは現在最も確実な中継路です。
他の取引プラットフォームの分析
Binanceを除いて、ますます多くのプロジェクトがAlphaまたはIDOの後に他の主流プラットフォームに移行することを選択しています。これらのプラットフォームの受容度はどのようなものですか?
リストの数
Alphaと比較して、IDOプロジェクトは他のプラットフォームでより魅力的である可能性があり、これはより強力なブランド構築とコミュニティ基盤に関連しているかもしれません。BitgetとBybitはIDOプロジェクトに対する受け入れ度が特に高く、プロジェクト側が検討すべき拡張パスです。
ライブ配信までの待ち時間
BitgetとBybitは反応が速く、迅速なローンチ戦略に適しています。CoinbaseとUpbitはペースが遅く、現地のコンプライアンス要件に合わせる必要があります。
価格パフォーマンス比較
AlphaとIDOプロジェクトが各取引プラットフォームに上場後14日間の平均上昇幅:
! Binance Listing Path Research: Alpha、IDO、Futures、Spotはすべて分解されていますが、どの方法が最も有益ですか?
全体的に見て、BitgetとBybitはBinanceプロジェクトを引き受ける際に安定したパフォーマンスを示しており、プロジェクト側がラインアップを計画する際の重要な考慮対象です。
結論と推奨事項
BinanceのAlphaとIDOは、前置プラットフォームとしてそれぞれの利点があります:
しかし、Spotの転換は依然として相対的に希少です:Alphaプロジェクトの最終昇進比率は約12%、IDOもわずか24%です。プロジェクト側はリズム管理を行い、異なるパスの待機時間の差を理解する必要があります。
そのため、プロジェクト側は自らの評価段階に応じて適切なチャネルを選択する必要があります。
さらに、異なるプラットフォームのプロジェクトトラックに対する好みも考慮に入れるべきです。AIプロジェクトはほぼすべてのチャネルで歓迎され、MemeはAlphaで最も良いパフォーマンスを発揮しますが、インフラ系プロジェクトはAlphaを除いて最も好まれるコアトラックです。
Binance Spotに直接入れなかったプロジェクトに対して、BitgetとBybitは実行可能な代替ルートを提供しており、特にAlphaやIDOからのプロジェクトに対する受け入れ度が高いため、プロジェクト側が重点的に検討する価値があります。